Selivanov AV 1, Vashlaev II 2* and Mikhailov AG 2
1Siberian State Aerospace University, Russia
2Institute of Chemistry and Chemical Technology of the Siberian Branch of the Russian Academy of Sciences (ICCT SB RAS), Russia
*Corresponding author: Vashlaev II, Institute of Chemistry and Chemical Technology of the Siberian Branch of the Russian Academy of Sciences (ICCT SB RAS) Krasnoyarsk, Russia
Submission: February 05, 2018; Published: March 19, 2018
ISSN: 2578-0255 Volume1 Issue4
The problem of assessment of logistic providing of the mining industry and production management with maximum efficiency is considered. The technique of integrated assessment of logistic capacity of the enterprise in the form of the sum of all product weight coefficient and ball values of components of system. It is proposed to be achieved through contour-integrated control of the logistical processes of the mining enterprise. The production logistics tasks included in the integrated system are formulated. A methodology for the operational management of the loading and transport complex has been developed.
The local contour of capacity is proposed to evaluate the ratings of participants included in the matrix structure. The possibilities of the contour- integrated control of management with calculation of rating estimates of participants of organizational and logistic subsystems allow increasing reliability of material support due to streamlining of material, information and financial flows, system control of conducting organizational and logistic works at the enterprise. Use of the recommended technique allows estimating the conditions of logistic providing mining enterprise, to compare him with the existing standards.
Keyword: Mining enterprise; Logistic providing: Level of logistic potential; Logistic management
An analysis of the performance of large-scale industrial enterprises shows significant losses in production efficiency associated with the non-integrated management of the current and operational levels of administration, the lack of their typing, the weak information and adoption of logistics management decisions.
The efficient management of modern production requires new approaches to logistics management in industrial enterprises. There is a complex task of management of streams of deliveries of material, information and financial resources in time taking into account the performed works on objects of the enterprise for the purpose of optimization of operational expenses and increase in reliability of performance of the planned works [1-3]. The applied approaches have to exclude emergence of such production situations on industrial facilities which can lead to production failures, to the interruption of synchronization of the providing processes that as a result would lower production efficiency in general and has had a negative impact on its techno-economic indicators [4].
For example, the technological subsystem of working off of the mineral deposit should be supplemented with a set of components of the material, organizational, informational and financial providing entering the logistic capacity of the mountain enterprise. The weakened logistic providing constrains technological capabilities of mining for 25-30%.
In a general sense it is accepted to understand as the capacity of the enterprise the volume and quality of the resources which are available for him, abilities of employees, financial opportunities, ability to receive and to effectively use necessary information in the activity. There are different interpretations of a concept of logistic capacity of the industrial enterprises, and there is no uniform understanding at authors about a possibility of his use in practice. The following definition is known:"Logistic potential - set of the resources providing ability of the enterprise to effective implementation of logistic operations, and an opportunity for achievement of goals with optimum expenses"
The analysis of interpretations of a concept of logistic potential of the industrial enterprise, it is possible to establish that there are no recommendations about calculation of the generalized indicator of level of logistic capacity of the enterprise (LLPE) which should be calculated for the concrete enterprise. Before it is proposed to consider the logistics Capacity (LP) as a combination of a finite set of components, the list of which is established by expert way, and, as the knowledge accumulates, its set and extent of variation may change:
Before it is proposed to consider the logistics Capacity (LP) as a combination of a finite set of components, the list of which is established by expert way, and, as the knowledge accumulates, its set and extent of variation may change:

where - is the j-th of the LP component, j=1... n;kminj (kmaxj ) - the minimum (maximum) value j-th components in points. And we believe that, kminj = 1 kminj = 10 =10 points (on ten to a mark scale).
Minimum number of components sufficient for effective management of an enterprise must be at least 7 and not more than 13. The integral value of the enterprise's logistic potential (LLPE) is determined by the sum of all the weights βj and points βj (by analogy with the known works):


where βj- j-th weight coefficient, unit share
The value of LLPE has the following limits:

For an example we will consider LP of the mining enterprise consisting of twelve components (n=12 in expressions (2) and (3)), necessary data for calculation of LLPE are consolidated in Table 1.
Table 1: List of components of the logistics capacity of a mining enterprise with weights and estimates of their level of achievement.

It is known that conducting mining operations has a number of features, for example, on the second a component see Table 1 the mountain enterprises are removed from the main routes and highways should be given to a horizontal equivalent [5] (not only internal, but also external roads) as the car route in a quarry consists of parcels with different roadway quality and different various biases.
For simpler and effective management of a loading and transport complex of the mining enterprise it is necessary to express a set of major factors through an integrated indicator. Such indicator is the distance of transportation of mountain mass provided to a horizontal equivalent which is defined proceeding from a condition of equality of the energy necessary for movement for the movement on inclined and horizontal parcels. Automobile route [5] it is offered to estimate by formula

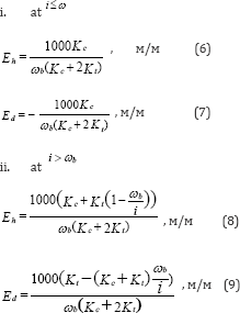
where Lbrb - base reduced transportation range, m; Lbr - reduced the range that takes into account the actual state of road pavement of an alignment, m; ωba - basic specific main resistance to the movement, N/kN. Reduction coefficients on elevating operation Eh and descent Ed on a section of the route with a inclination i (%o) and specific main resistance to the movement ωb , (N/kN):

where Kt - coefficient empty truck; Kc -coefficient of use of carrying capacity.
The reduced distance (Lbr ) should be defined on the basis of a formula (10), proceeding from the known parameters

where , , is, respectively, the length, incline and factor of routs (j = 1 ...n).
As there are a requirement to compare a line with various road cover the g problem are decide by determination of the weighted- mean value of the main resistivity to motion ( )

ωbj - specific main resistance to the movement ofj of a section of the route,
, N/kN and then reduction to a base main resistivity to motion ( ωbb)
Value of base basic specific resistance to movement should be within actual indicators of quality of roads. We recommending ωbb =30 N/kN that corresponded to the road with a covered with crushed stone coating. Though it had no basic value as it are easy to make recalculation on the formula (10) result distances at transition from one base to another. ωba - average specific basic resistance to movement.
After an eighth component it are important to develop environmental economics management of mountain production, after a tenth component, remoteness of suppliers are characteristic.
We will note also that kj- of j component of LP in expression (1) is, in turn, a final set of a certain set of subcomponents.

where kj -ofj a component of LP, points; kji subcomponent components kjmj - points; - quantity subcomponents, units; Lkj - estimation of level components kj., points; αji weight coefficient components, shares of units. The condition (15) fixes a chain of investments which is peculiar to the allocated components and a final set of LP. Such specification allows defining more precisely , and as a result of the LLPE enterprise. For an example, we will consider the eighth to a component () LP and its set of the subcomponents presented in Figure 1.
Figure 1: Structure of a technological subsystem of an open-cast mine.

Sets of kits a component kj and a subcomponent kji, constitut LP was define concretely and regulate within the limits of the konturno-integrat management of logistic processes of industrial organization.
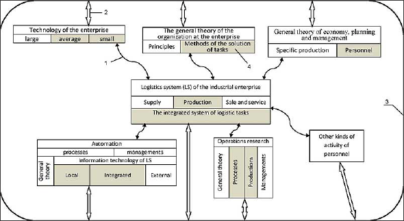
In the course of formation of logistic capacity of the enterprise solutions of logistic tasks collect, and an assessment of a condition of production of the enterprise and its subsystems is given, comparisons with the chosen restrictions and criteria of efficiency of a contour of management of production economic activity are carried out, deviations from reference requirements of functioning of a production system are established. If the control condition contradicted results of comparisons, then define the suitable operating logistic impact on the hierarchical system ofthe enterprise which will allow transferring it to the new mode of functioning with the best social and economic and ecological characteristics [4].Under the management contour, you should understand the object that is generated by the interrelated components as necessary and sufficient to make management decisions.
The components of the contour are represented not only by qualified personnel, but also by an integrated logistics task system, office automation equipment, communication channels, and information technology and logistics infrastructure. Application of system approach in the management of logistics of the enterprise is caused by need of elimination of the losses resulting from the loss of profits. The need to address the losses resulting from the loss of profits, complexity of solvable logistic tasks and the need to integrate local contours into a coherent production system.
Figure 2: Scheme of integration of interrelations of kinds of activity of participants of LS enterprises:1st bilateral interrelation of specialists; 2 - system relationship; 3-emerdzhentny environment of a production system; 4-the studied sections are selected with filling.

Logistic activity of specialists of the enterprises should be considered taking into account integration of interrelations of forms of activity in the course of the decision of logistic tasks Figure 2. The main tasks, for example, the production logistics included in the integrated logistics task system, are:
i. Forming of the logistic structure of manufacturing facility and production process;
ii. The control of norm for consumption of material resources (MR) on working processes and operations of production;
iii. Optimizing the pace of production, all MR reserves, unfinished production (up), volumes of finished products (FM) within the production-technology cycle and the warehousing system of the industrial enterprise;
iv. Improvement of technical and economic indicators (TEF) of work of an intra-industrial transport complex;
v. Rationing of time of a production cycle;
vi. Accounting, analysis of operational logistic expenses;
vii. Choice of intra production management information production system of optimization of material resources;
viii. Imitating modeling of an expense of material resources (MR);
ix. Accounting of production wastes and assessment of effective use of secondary MR (elimination of losses from marriage);
x. Formation of the synchronized and integrated material, information and financial flows in production systems;
xi. Calculation of parameters of the schedule of delivery of MR on production objects of the enterprise;
xii. Rationale for the need for instrumentation of product production
xiii. Maintaining rating estimates of participants of logistic providing enterprise;
xiv. Justification of management methods logistic risks of the enterprise [4] (Figure 2).
The logistics system (LS) has to include: interaction of specialists of the enterprises; statement and classification of logistic tasks; packets of machine program for the solution of tasks; the integrated information database (BD), schemes of information and financial flows; computer aids and logistic infrastructure. The offer system are built on the basis of a konturno-integrated approach, by a hierarchical principle with forming of through information technology of an estimation of a condition of results of work of the enterprise, allocation of straight lines and feedback of form subsystems [6-8].
Figure 3: A local contour of management of the transport and warehousing management with examples of solvable tasks.

For example, the contour of management of transport and warehouse logistics [8,9] considering inter-functional communications is presented in the Figure 3. On Figure 3 Symbols accepted: PM - preventative maintenance; MR-material resources; TEF-technical and economic features; TWP-TTansport and warehousing processes; bilateral shooters have displayed organizational and information communications. The configuration of this local contour see Figure 3 considers interaction of personnel of different divisions of the enterprise in management processes, planning, economy, logistics, the organization and technology in temporary matrix structure. Need of participation, for example, employees of dispatching service is caused by requirement of redistribution of motor transport in process of his release in internal transportations of material resources according to applications of producing departments of the enterprise as separate cars can be used not for total operational time of change and, therefore, it is required to establish them the new place of work to exclude outages of technology (Figure 3).
In Figure 3 the designations PM-scheduled preventive maintenance d; MR - material resources; TEF- technical and economic indicators; TWP- transport and warehouse processes; bilateral shooters have displayed organizational and information communications. The configuration of this local contour see Figure 3 considers interaction of personnel of different divisions of the enterprise in management processes, planning, economy, logistics, the organization and technology in temporary matrix structure. The need to participate, for example, in the Movement Control service is due to the need to redistribute of motor transport in process of his release in internal transportation of goods. The problem of improvement of TEF of work of an intra industrial transport industrial complex is relevant as rational the replaceable organization of a loading and transport complex promotes implementation of planned obligations of the enterprise. The technique of planning and management of a loading and transport complex within the operating shift
For each point of loading calculation planned output per shift excavator productivity is made (Pepsj)

where tc. p - passport duration of a working cycle of the machine, s; V- settlement capacity of a ladle, m3; to -the duration of the excavator's work in one place of parking, s; ts -duration of one shifting, s; ke = kf/ki - excavation coefficient, kf - coefficient of filling of a ladle of the excavator, ki - fragmentation index of breed in a ladle of the excavator; Ts - duration of shift, h; kt - operating factor of the machine over time. The scheduled tasks for the open- pit bench should be equal to or less than the output of the excavator.
i. On a formula (5) the be defined to a horizontal equivalent which are determined by each route ( Lbbrm ).
ii. Calculates the planned of a shift truck ( Pasij) along each route and on each type of dump trucks calculates taking into account (11) distances of transportation determined by a formula and their ranging in ascending order of productivity is made

where q - the loading capacity of a dump truck, t; kq - efficiency of loading capacity; Ts - duration of shift, h; ks - the rate of utilization of the shift time 0,75-0,85; Tt - trip time, min.

where t1,tul,ttr,ttm- accordingly time of loading, unloading, movement and maneuvering, minute.

where te - excavator cycle time, s; E - capacity of a bucket of the excavator, m3; γ - rock density in a tselika, t/m3; ke - excavation coefficient.

v1 and ve-speed of the laden and empty truck dump respectively, km/h; ka.s- coefficient that takes into account the acceleration and deceleration of the truck during traffic, .ka.s = 1.10-1.12

Figure 4: Block diagram of the dynamic management of the loading-transport process.

Ne -engine capacity, kW; g -acceleration of gravity, m/ s2; ηan =0.85-0.88-factor that takes into account the selection of capacity for auxiliary needs; ηt -the efficiency of the transmission, with hydro-mechanical transmission; ηt=0.70-0.72, with electromechanical ηt = 0.69-0.71, mechanical = 0.72-0.82 (Figure 4).
Ne -engine power, kW; g - acceleration of gravity, m/s2; nan= 0.85-0.88-coefficient the considering selection of power for auxiliary needs; ηt -the efficiency of the transmission, with hydromechanical transmission ηt= 0.70-0.72, with electromechanical ηt = 0.69-0.71, mechanical ηt = 0.72-0.82).
iii. The maximum permissible number nmax ij of i-th type dump trucks for each excavator is determined as:

where:
λi - the planned share of i-th type dump trucks from the total number of dump trucks in the excavator-car complex.iv. The shift manager or the mine dispatcher distributes the incoming dump trucks between excavators. When dump trucks are distributed, what is being ensured first, is the implementation of the shift's plan on ore extraction.

If the estimated work shift volume for the overburden exceeds the planned volume, and the number of unloading points exceeds the number of loading points, it is advisable to regulate the productivity of dump trucks by the distance of transportation, thereby controlling the amount of work for overburden removal. When the situation is changed depending on the number of working excavators or dump trucks, corrective calculations are performed.
The above-mentioned method may be interconnected with GPS and GLONASS systems, through this, additionally improve the management reliability and efficiency of the loading-transport process. The proposed method of transport-warehouse system allows planning the rotation of different types of vehicles, both on normative and actual databases. Accumulated statistics of the contour work is easily used in simulation modeling of the integrated transport and storage process. For the conditions of a machine-building enterprise, the solution of a similar problem was considered in [7].
The cargo transportation process under our research is supported by the work of a number of services and divisions of the enterprise: planning department, transportation department, main and auxiliary divisions, warehousing, dispatching service, information and analytical center. The need for formation of a local control contour see Figure 3 is explained by the multistage solution of the problem of distribution of vehicles and the obligatory teamwork of all specialists of the enterprise. Each division (department) solves certain particular problems (examples are shown in Figure 2), which eventually become integrated and contribute to the emergence of sudden consequences of such an association, and also improve the quality of management decisions regarding the transport and warehouse logistics of an industrial enterprise [7,8].
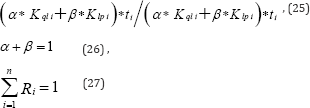
Monthly performance of the local control contour (see Figure 2) is recommended to evaluate via the rating system indicators ((25) ... (27)), allowing to take into account the contribution of each unit and its staff into the effectiveness of suggested activities of transport and warehouse logistics.
It is known that the creation of a reliable management team appears to be the one of the primary tasks of production management, including issues of logistics management. Such an assertion belongs to the one of specialists in the field of management Lee Jacocca [10]: "... In the end, all business operations can be reduced to three words: people, product, and profits. In the first place are people" To motivate the participants of the logistics system, we propose computing individual ratings ( ) by expression (25):

where: Ri - the value of an individual rating of the i-th participant, score; K ql i - coefficient of qualification level of the i-th participant, score; Klpi -coefficient of labor participation of the i-th participant, score; a(P) - accepted in the division weight Kqli, (Klpi) fractions of units;(for example, α = 0,6...0,7; β = 0,3...0,4, hence α has more weight than β); - actually worked-off time by the i-th participant in the current month (according to the time sheet), h;n - listed number of division participants (or of the whole system), persons. [8,11].
The value of K ql i is calculated by the known expression:

where: Si - the average wage of the i-th participant (employee) for the previous period, Rub/man-mo; Smin - minimum average wage for the last period in the division, Rub/man-mo.
By another method, Kqli may be set by the Board of the division (or enterprise) taking into account the results of expert opinions of its members and regulatory data. To calculate the size of Klpi, we may use the following expression (29):

where: Rlpi (Llpi)- the size of the raising (decreasing) factor Klp i of the i-th participant (or other employee, which is set by the department's Board based on the data in the current month of work), score; p(m) - the total number of positive (negative) values assigned by the Board to the i-th participant in the current month of the division's work, units.
The list of indicators, included in Kqli and Kqli, may be adjusted according to changes, happening in production and economic activity of the industrial enterprise [8-11]. The set of calculated (during the reporting month) values of individual ratings Ri (by expression (24)) being ordered into a row (30):

The value of Ri may be calculated for any employee dynamically for monthly periods or for a certain period of time as a weighted average. The need for calculation Ri arises due to preparation of objective information for each participant (employee) and serves as an integrated indicator for the formation of a "social and industrial hierarchy" in the enterprise [7,8,11].
The values of the ordered row (30) may be multiplied by a factor (10 or 100 to form the integer parts of each Ri, while maintaining the regularity of this row), and may be used as one of the main indicators of the participant's (employee's) value, also to serve as an objective criterion for encouraging and selecting candidates for promotion at work. The value of Ri may be used to distribute bonuses (formed from the sums of savings for the implemented logistics activities) between the participants of the logistics system.
Thus, the size of each participant's bonus for overtime work or other results may be calculated by the expression (31):

where: Bi - size of the i-th participant's bonus for the current month, k Rub/man-mo; - total amount of the bonuses (or conservation) based on results of performed volumes of work for the current month (amounts to 40 ... 45% of the amount of conserved on conditionally fixed expenses, with an increase in the volumes of work or other expenditure items), kRub/man-mo; Ri- level of the individual rating of an i-th employee, score; m - number of employees participating in the bonuses distribution ( Btotal ), persons.
The proposed methodology allows us to specific ate the influence of key factors on the production system of the mining enterprise and to assess the state of logistic support of the object under study, compare it with existing standards and increase the accuracy of estimates of the logistical potential. Issues of the condition and strengthening of logistical support of the mining enterprise usually included in the top-priority list of tactical and strategic tasks of logistics management.
We have developed a method of contour-integrated management with the calculation of rating scores of participants of the production system, what allows increasing the reliability of logistics streamlining of material, information and financial flows, as well as the system of control and regulation management of organizational and logistical work in an industrial plant. As a whole, this improves the quality and efficiency with regard to administrative decisions in the management of mining industry.
© 2018 Vashlaev II. This is an open access article distributed under the terms of the Creative Commons Attribution License , which permits unrestricted use, distribution, and build upon your work non-commercially.
a Creative Commons Attribution 4.0 International License. Based on a work at www.crimsonpublishers.com.
Best viewed in