Priyan S*
Department of Mathematics, Mepco Schlenk Engineering College, India
*Corresponding author: Priyan S, Department of Mathematics, India
Submission: February 26, 2019;Published: April 10, 2019
ISSN 2578-0255Volume2 Issue5
Today industries are looking for solutions to reduce carbon emissions associated with their operations. Operational adjustments, such as modifications in batch sizes or order quantities, have proven to be an effective way to decrease emissions. This paper provides a new mathematical model which integrate cost and emissions in transportation and storage to execute optimal operational adjustments for defective products in a two-echelon supply chain system. This research may help both the government and the industry to adopt appropriate carbon reduction regulations.
Keywords:Optimization; Inventory; Carbon emission; Convex
Manufacturing engineering is concerned with the design, operation, and control of systems whose components are human beings, machines, raw materials, and money. Contrary to other engineering disciplines, it deals not only with technical issues involving man-made systems, but also with behavioral, financial and quality management, manufacturing strategy and paradigms, human factors, manufacturing systems design and operations, supply chain and inventory management. In this direction, supply chain and inventory management research have been a topic of extensive research in the manufacturing industries [1-5]. The main goal of supply chain management research is to reduce the unnecessary costs without sacrificing customer service. Effective inventory management is fundamental to a global manufacturing supply chain strategy.
To prevent climate change, many nations are beneath growing pressure to gradual down carbon emissions with a few objectives to lessen emissions or even law preparation to slash emissions. This, in impact, ought to push firms in all industrial sections to undertake initiatives to store energy and to lessen emissions. The largest source of greenhouse gas emissions from human activities in the United States is from burning fossil fuels for electricity, heat, and transportation (Figure 1). The amount of associated emissions generated from transportation and storage process is mainly determined by inventory control decisions, transportation frequency and energy efficiency. Without considering carbon emissions in inventory management, the decision objective is usually set as the total cost minimization or the total profit maximization. However, taking emission reduction into account is likely to change the optimal solution and incurs additional cost. In this connection, carbon emission issues in inventory management have attracted attention in literature recently.
Figure 1:Worldwide carbon emission Chart.

Jaber et al. [6] considered a supply chain model with a coordination mechanism to consider carbon emissions from manufacturing processes. Hammami et al. [7] considered carbon emissions in a deterministic multi-echelon supply chain with lead time constraints. Jauhari et al. [8] addressed a cooperative inventory model for vendor-buyer system with un equal sized shipment, defective items involving carbon emission cost. Sunil et al. [9] designed an integrated vendor buyer inventory model for deteriorating items with the imperfect quality considering carbon emission. Nikunja et al. [10] provided a suggestion to the manager of manufacturing firm who may apply two policies, shortages and adjustment t of wholesale price, to reduce GHG emission. Noraida et al. [11] derived a recovery model of a two-stage supply chain subject to supply disruption with consideration of safety stock and carbon emission. Qingguo et al. [12] addressed the effects of carbon emission reduction on supply chain coordination with vendormanaged deteriorating product inventory. The aim of this paper is to design an extensive in targeted two-echelon inventory model for handling joint decision-making with the consideration of carbon emission.
Once the buyer orders a lot size of Q units, the vendor produces the items in a lot size of nQ units in each production cycle of length nQ/D with constant production rate P units per unit time, and the buyer will receive the supply in n lots each of size Q units. The vendor ships in its first lot as soon as it has Q units. (Figure 2 & 3) illustrate the inventory patterns at the buyer and vendor, respectively. (Figure 2) leads to the first lot size o f Q units are ready for shipment after time Q/P just after the start of the production. During the production period, Tp = nQ/P, the vendor’s inventory is building up at a constant production rate P which is higher than demand rate D (i.e. P >D), and simultaneously supplies a lot of size Q units to the buyer on expected every Q/D units of time. Subsequently, during the nonproduction period, Td, the vendor continues his shipments to the buyer on expected every Q/D units of time until the inventory level falls to zero. The buyer starts screening at the beginning of the cycle and discards or salvages the defective lot at the end of this screening process. Thus, the buyer’s total cost in a vendor’s cycle is the sum of ordering, holding, screening and the shipment costs

Figure 2:Buyer’s inventory in vendor’s one cycle.

Now the total inventory moved to the buyer in a cycle by the
vendor is
Thus, in a cycle, the vendor’s total inventory in a cycle
Figure 3:Vendor’s inventory level in a one cycle with time.

Let g0 denote fuel consumption of the unloaded (empty)
vehicle andg1 denote unit fuel consumption factor if the supplier’s
transportation vehicle is loaded with goods. This research
considers g0 + g1 Q captures amount of fuel consumption for a oneway
delivery from supplier to buyer. We assume that backhaul is
not used and return vehicles are empty, and that g0 is amount
of the fuel consumption for the return trip. The total amount of
fuel consumption is g0 + g1 Q for one shipment. Hence, vendor’s
expected transportation cost per unit of time is
In this model, we measure the total amount of carbon emissions from
transportation and storage. Thus, the associated amount of carbon
emissions is designed by

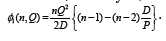
In Eq. (2), Π1(n,Q)and Π2(n,Q) are the amounts of carbon emissions from transportation and storage, respectively. Then θ1 and θ2 are carbon emission factors for fuel and electricity. In Π2(n,Q) , w0 and w1 are fixed and unit variable electricity consumption for storage. Accordingly, the supplier’s carbon emissions cost per unit time is derived by

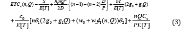
Hence, the vendor’s expected total cost per unit time is the sum of the setup cost, holding cost,
transportation cost, carbon emission cost and production cost are designed by

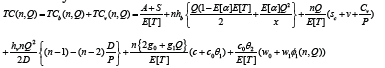
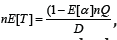
Accordingly, the expected total cost per unit time for the proposed supply chain system is given by sum of Eqs. (1) and (3), mathematically

Hence, using
, the integrated expected total cost
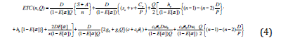
per unit time, after some algebraic simplification, is

The problem formulated in the previous section appears as a nonlinear programming problem. To solve this kind of nonlinear problem, we follow the similar procedure of most of the literature dealing with nonlinear problem. That is, first we relax the integer requirement on n, then try to find the optimal solution of ETC (n, Q) using the classical differential calculus optimization technique.
For fixed Q, we can prove the average total ETC (n, Q) is a convex function of n, which indicate that there must be an optimal n = n* to meet the following equation:
𝐸𝑇𝐶 (𝑛∗, 𝑄) ≥ 𝐸𝑇𝐶 (𝑛∗ + 1, 𝑄)
𝐸𝑇𝐶 (𝑛∗, 𝑄 ≥ 𝐸𝑇𝐶 (𝑛∗ − 1, 𝑄))
Property 1. For fixed Q, 𝐸𝑇𝐶 (𝑛, 𝑄) is a convex function of n.
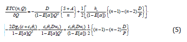
Proof. Taking the first and second partial derivatives of 𝐸𝑇𝐶 (𝑛, 𝑄) with respect to n, we have

Therefore, for fixed Q, 𝐸𝑇𝐶 (𝑛, 𝑄) is convex in n.
This completes the proof of Property 1.
Now, for fixed n, we take the first partial derivative of 𝐸𝑇𝐶 (𝑛, 𝑄) with respect to Q, and obtain

Hence, for fixed n, 𝐸𝑇𝐶 (𝑛, 𝑄) is convex in Q since
Thus, for fixed n, Eq. (6) gives optimal value of Q such that the integrated expected total cost is minimum. Furthermore, based on the convexity behavior of objective function with respect to the decision variables the following algorithm is developed to find the optimal values for Q and n.
Algorithm
a) Step 1. Set n = 1.
b) Step 2. Determine Q from Eq. (6)
c) Step 3. Compute the corresponding 𝐸𝑇𝐶 (𝑛, 𝑄) by putting Q in Eq. (4).
d) Step 4. Set n = n+1, repeat the step 2 and 3 to get 𝐸𝑇𝐶 (𝑛, 𝑄).
e) Step 5. If 𝐸𝑇𝐶 (𝑛, 𝑄) ≤ 𝐸𝑇𝐶 (𝑛 − 1, 𝑄), then go to step 4, otherwise go to step 6.
f) Step 6. Set (𝑄∗, 𝑛∗) = (𝑄, 𝑛 − 1), then the set (𝑄∗, 𝑛∗) is the optimal strategies for the proposed model.
Today’s one of the most important aspects of inventory management that has significant role in supply chain operations is the carbon emission of defective products in multi-echelon inventory systems. The decision objective is usually set as the total cost minimization or the total profit maximization without considering carbon emissions in inventory management. However, taking emission reduction into account is likely to change the optimal solution and incurs additional cost. In view of this we include the possible relationship between transportation and storage in the existing model and then investigate the joint impacts of carbon emission. This paper provides a modified integrated inventory model which integrates cost and carbon emissions in transportation and storage. We designed an algorithm to find the optimal inventory strategies in order to minimize carbon emission cost and system cost. Our proposed algorithm may help both the government and the industry to adopt appropriate carbon reduction regulations.
© 2019 Priyan S. This is an open access article distributed under the terms of the Creative Commons Attribution License , which permits unrestricted use, distribution, and build upon your work non-commercially.
a Creative Commons Attribution 4.0 International License. Based on a work at www.crimsonpublishers.com.
Best viewed in