Afonin SM*
National Research University of Electronic Technology, MIET, Russia
*Corresponding author:Afonin Sergey Mikhailovich, National Research University of Electronic Technology, MIET, 124498, Moscow, Russia
Submission: April 06, 2021;Published: June 3, 2021
ISSN 2640-9690 Volume3 Issue4
The characteristics of an electromagnetoelastic actuator for nanomechanics and nanotechnology are received. The structural diagram of an electromagnetoelastic actuator for nanomechanics and nanotechnology is obtained. The structural diagram of an electromagnetoelastic actuator has a difference in the visibility of energy conversion from Cady and Mason electrical equivalent circuits of a piezo vibrator. The matrix transfer function of an electromagnetoelastic actuator is obtained.
Keywords: Electromagnetoelastic actuator; Characteristics; Structural diagram; Piezo actuator; Deformation; Matrix transfer function; Nanomechanics and nanotechnology
An electromagnetoelastic actuators in the form of piezo actuators or magnetostriction actuators are used in nanomechanics and nanotechnology for nanomanipulators, laser systems, nano pumps, scanning microscopy [1-5]. The piezo actuator is used for nano displacements in photolithography, microsurgical operations, optical-mechanical devices, adaptive optics systems and adaptive telescopes, fiber-optic systems [6-15]. The electromagnetoelasticity equation and the differential equation are solved to obtain the structural model of an electromagnetoelastic actuator. The structural diagram of an electromagnetoelastic actuator has a difference for from Cady and Mason electrical equivalent circuits of a piezo vibrator in the visibility of energy conversion. The structural diagram of an electromagnetoelastic actuator for nanomechanics and nanotechnology is obtained by applying the theory of electromagnetoelasticity [4-12].
The structural diagram of an electromagnetoelastic actuator for nanomechanics and nanotechnology is changed from Cady and Mason electrical equivalent circuits [4-8]. The equation of electromagnetoelasticity [1-15] has the form of the equation of the reverse effect for the actuator

where
and Tj are the relative deformation, the module, the control
parameter or the intensity of field, the elastic compliance, and the mechanical intensity.
Let us consider in static regime the characteristics of an electromagnetoelastic actuator
for nanomechanics and nanotechnology. The mechanical characteristic [4-39] of an
electromagnetoelastic actuator has the form

The regulation characteristic [4-39] an electromagnetoelastic actuator has the form

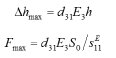
The mechanical characteristic of an electromagnetoelastic actuator has the form

where index max is used for the maximum value of parameter. For the transverse piezoelectric effect the maximum values of parameters of the piezo actuator for nanobiotechnology have the form

For the transverse piezo actuator for nanomechanics and
nanotechnology at 
its parameters are found Δhmax = 100nm and Fmax = 4N.
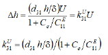
At elastic load the regulation characteristic of an electromagnetoelastic actuator for nanomechanics and nanotechnology is obtained in the form

The equation of the displacement of an electromagnetoelastic actuator at elastic load has the form

For the transverse piezo actuator for nanomechanics and nanotechnology the equation of the displacement at elastic load has the form

where
is the transfer coefficient.
Therefore, at
0.4∙107N/m, U = 200V, its parameters are found
= 2.8nm/V and
steady-state displacement Δh = 560nm. Theoretical and practical
parameters are coincidences with an error of 10%.
Let us consider in dynamic regime the characteristics of an electromagnetoelastic actuator for nanomechanics and nanotechnology. The differential equation of an electromagnetoelastic actuator has the form [4-32]

where Ξ(x, p) is the transform of Laplace for displacement; p , γ , cΨ , α are the operator of transform, the coefficient of wave propagation, the speed of sound, the coefficient of attenuation
The decision of the differential equation of an electromagnetoelastic actuator has the form

where C , B are the coefficients
The coefficients C , B have the form

where 1(p) Ξ , 2 (p) Ξ are the transforms of Laplace displacement of faces 1 and 2 for an electromagnetoelastic actuator.
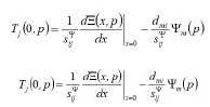
The system of the equations for the forces on faces of an electromagnetoelastic actuator is found [10-38]

where M1 , M2 , F1(p), F2 (p) , Tj (0 , p) , Tj (l , p), S0 are the masses of the load, the transforms of Laplace the forces and the stress on faces 1 and 2, the area of an actuator.
The system of the equations the transforms of Laplace the stresses acting on faces of an electromagnetoelastic actuator has the form

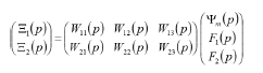
The system of equations for the structural diagram on Figure 1 and model of an electromagnetoelastic actuator for nanomechanics and nanotechnology has the form
Figure 1:Structural diagram of electromagnetoelastic actuator for nanomechanics and nanotechnology.


where
is
the intensity of electric field, H is the intensity of magnetic field.
The matrix equation for an electromagnetoelastic actuator with matrix transfer function has the form

Therefore, at the inertial load the steady-state displacements , of an electromagnetoelastic actuator have the form

For the mechatronics control systems with an electromagnetoelastic actuator its characteristics are found.
In work the characteristics of an electromagnetoelastic actuator for nanomechanics and nanotechnology are received. The structural diagram of an electromagnetoelastic actuator for nanomechanics and nanotechnology is obtained. The structural diagram of an electromagnetoelastic actuator has a difference from Cady and Mason electrical equivalent circuits of a piezo vibrator in the visibility of energy conversion. The structural diagram of an electromagnetoelastic actuator is found from its electromagnetoelasticity and differential equations. The matrix transfer function of an electromagnetoelastic actuator is received.
© 2021 Afonin SM. This is an open access article distributed under the terms of the Creative Commons Attribution License , which permits unrestricted use, distribution, and build upon your work non-commercially.
a Creative Commons Attribution 4.0 International License. Based on a work at www.crimsonpublishers.com.
Best viewed in