Tsolaki Anthoula1*, Siapera Marianna2, Mauredaki Penelope2, Kantoglou Eleni2, Patrizia Mecocci 3, Bruno Vellas4,Hilkka Soininen5, Iwona Kloszewska6, Anna Kisney7, Andy Simmons7, Simon Lovestone8, Tsolaki Magda2, On behalf of the Addneuromed consortium
1 1 Neurology Clinic, Agios Pavlos Hospital, Greece
2 3rd Department of Neurology, Aristotle University of Thessaloniki, Greece
3 Department of Gerontology and Geriatrics, University of Perugia, Italy
4 Department of Neurology, University of Toulouse, France
5 Department of Neurology, University of Kuopio, Finland
6 Department of Old Age, Psychiatry and Psychotic Disorders, Medical University of Lodz, Poland
7 MRC Centre for Neurodegeneration Research, Institute of Psychiatry King’s College London, UK
8 Department of Psychiatry, University of Oxford, UK
*Corresponding author: Tsolaki Anthoula, Neurology Clinic, General Hospital of Thessaloniki, Ellis Alexiou 19, 55535 Thessaloniki, Greece
Submission: November 11, 2017;Published: June 15, 2018
ISSN 2578-0093Volume3 Issue4
Multiple medical co morbid conditions are common in older adults. Patients with dementia and high comorbidity are characterized by the most compromised health status. This study aims to assess the correlation of Magnetic Resonance Imaging (MRI) data and medical co morbidity in patients with Alzheimer’s disease (AD). The study is based on data collected from the European Study Innomed. Clinical and MRI data were collected from six European sites. Patients had to meet the ADRDA/NINCDS and DSM -IV criteria, and the MMSE score was ≤23. A total of 61 AD patients’ data, were analyzed. The Cumulative Illness Rating Scale for Geriatrics (CIRS-G) was used to calculate the co morbidity burden. MRI volume of 14-brain regions of interest, mostly mentioned as affected by AD in literature, were analyzed. The impact of co morbidity, on the volume of the selected MRI areas of the 61 patients with AD, was assessed via Spearman correlation coefficient. The correlation of CIRS-G with the volume of the brain areas of interest showed that there was no statistically significant correlation. Co morbidities, based on our results, do not largely influence the brain volume of the investigated areas, additionally to the neurodegenerative disease. Age and gender are confounders regarding the brain atrophy in AD.
Alzheimer’s Disease (AD) is among the most common diseases in aging societies, and its prevalence is expected to quadruple in 2050 [1]. The incidence of AD increases steeply with age and continues to increase even in the most advanced ages. Neuropathologically, it is characterized by the aggregation and deposition of misfolded proteins such as β-amyloid mainly as extracellular neuritic plaques and hyperphosphorylated tau protein as intracellular neurofibrillary tangles [2]. Several studies presented that the incidence of AD in the United States and Europe is higher in females than in males, especially at very old ages [3,4]. Moreover, it seems to exist an excess mortality in men with AD [5]. However, the survival advantage of women with AD relative to men may occur as a result of fewer co morbid clinical conditions associated with the diagnosis of dementia [6]. But are these two conditions (AD and medical co morbidity) somehow connected one to the other?
Co morbidities are diseases or disorders that coexist with a disease of interest. Co morbid illnesses are important because they may delay diagnosis, may influence treatment decisions, they are related to complications, and last but not least may alter survival [7]. Multiple medical co morbid conditions are common in older adults with and without dementia in primary care [8]. Patients with Dementia (PwD) are more frequently frailer than older people. They have a higher number of admissions to hospital [9], a greater prevalence of complications and an increased risk of death [10,11].
When compared to older adults with no dementia, PwD and high comorbidity reported the most compromised health status, especially in those with sight, oral, and genito-urinary problems [12]. Co morbid medical conditions, such as diabetes [13-15], hypertension [16,17] and other cardiovascular risk factors [18,19] may also contribute to the progression of AD patients [20,21], and can even contribute in the onset of walking and eating disability in PwD [22]. On the other hand, dementia reduces the self-care status, so the ability to control other chronic conditions becomes difficult and complicated [14].
AD is characterized mainly by brain atrophy in hippocampus and in some cortical areas at the onset of the disease. Chronic medical conditions may also cause brain atrophy, i.e. chronic cigarette [23] and alcohol use -abuse [24], hypertension [25,26], kidney disease [27], depression [28].
This study aimed to examine the effect of co morbidity, regarding the number and the severity of comorbid entities, on the volume of 15 different brain areas most affected by AD.
The study was based on a database which was collected from the European study Innomed, an FP project funded by the EU and sponsored by EFPIA [29]. Clinical, neurocognitive and MRI data, were collected from six different European sites: Aristotle University of Thessaloniki, University of Perugia, University of Kuopio, Medical University of Lodz, University of Toulouse and Institute of Psychiatry King’s College. Two hundred twenty AD patients were recruited from the six sites-countries. All participants signed a consent sheet according to the Helsinki agreement. The AD patients met the NINCDS-ADRDA (National Institute of Neurological and Communicative Disorders and Alzheimer’s Disease and Related Disorders) [30] and DSM-IV criteria [31] for the probable AD. Inclusion criteria were age more than 58 years old, and Mini- Mental State Examination score ≤23. The exclusion criteria were significant neurological or psychiatric illness other than AD and significant systematic illness or organ failure.
Co morbidity refers to any other coexistent illness additional to the disease of interest, in this case, AD. In this study, the available information on co morbidity in AD patients was from Cambridge Mental Disorders of the Elderly Examination (CAMDEX) test which includes patient’s past and current medication.
Table 1:The modified Cumulative Illness Rating Scale (CIRS).

The Modified Cumulative Illness Rating Scale for Geriatrics (CIRS-G) was used in this study. CIRS scale has been predominantly reported in the geriatric and psychiatric literature. It was formulated in 1992 as a revision of the Cumulative Illness Rating Scale (CIRS) [32] to reflect common problems of the elderly [33]. In this study, we used the modified CIRS-G version [34]. Diseases are scored by organ system and grouped into 14 categories (Table 1). Each item is given a severity score: 0. No problem;
A. Current mild problem or past significant problem;
B. Moderate disability or morbidity/requires first-line therapy;
C. Severe/constant significant disability/ uncontrollable chronic problems;
D. Extremely severe/immediate treatment required/ end organ failure/severe impairment in function. Five main composite scores can be calculated: the total number of categories endorsed; CIRS-G total score; severity index (Total score/total number of categories endorsed); the number of categories at level 3 severity; the number of categories at level 4 severity.
For the present study, the score for the psychiatric illness item was calculated without dementia-related ratings. We also scored for the respiratory item, smoking as 0: no/less than 10/day; 1: 10- 20 cigarettes /day for more than one years, 2: 20+cigarets/day for more than one years, since this was the form of information that has been noted down in the CAMDEX. Furthermore, when we had daily use of anti-depressive drugs, we scored it as 2 because it is very common in elderly to have mood disorders without having major depression according to DSM IV criteria and we believe that it would be overscored as 3.
If the subject had two illnesses in the same body system, it was rated by the score of the most severe one and not the sum of both of them, according to the instructions of modified CIRS application [33]. The severity of dementia was calculated by MMSE and CDR and the impact of its severity on brain volumes was checked by the statistical analysis.
Participants: One hundred nineteen patients with probable AD underwent MRI. Informed consent was obtained from all subjects and protocols and procedures were approved by the relevant Institutional Review Board at each data acquisition site and the data coordination site.
Data acquisition: Data acquisition took place using six different 1.5T MR systems (4 General Electric, 1 Siemens and 1 Picker) at the University of Kuopio, Finland, the University of Perugia, Italy, Aristotle University of Thessaloniki, Greece, King’s College London, United Kingdom, the University of Lodz, Poland and the University of Toulouse, France. At each site, a quadrature birdcage coil was used for RF transmission and reception. Data acquisition was designed to be compatible with the Alzheimer Disease Neuroimaging Initiative (ADNI) [35]. Following a three-plane localizer, a high resolution sagittal 3D MP-RAGE dataset and an axial proton density / T2-weighted dual echo fast spin echo dataset was acquired. Image quality control took place immediately after the images had been acquired at each site according to clear criteria. All MR images received a clinical read by an on-site radiologist to exclude any subjects with non-AD related pathologies.
Image analysis: Following detailed quality control of each set of images two highly automated structural MRI data analysis pipelines were utilized for data analysis and hippocampal volumes delineated manually.
Civet pipeline: The civet pipeline consists of image intensity non-uniformity correction using the N3 algorithm [36], segmentation of brain tissue using an artificial neural network classifier [37], and regional brain parcellation using a multi-scale analysis method which deforms the T1-weighted MPRAGE volume to match a previously labeled MRI [38].
Fischl and dale pipeline: The Fischl and Dale pipeline includes the removal of non-brain tissue, segmentation of the subcortical white matter and deep gray matter volumetric structures [39,40] intensity normalization [36] and parcellation of the cerebral cortex into units based on gyral and sulcal structure [40,41].
Hippocampal volumes: Hippocampal volumes were manually delineated by an experienced neuroradiologist according to the method described in bibliography [42]. The detailed description of the procedure has been already published in previous papers of the same scientific group (Addneuromed) [43]. Brain changes in AD and prodromal AD lead to a pattern of widespread atrophy (measured as both volume and thickness), involving several different structures across the brain (e.g., hippocampus, entorhinal cortex, and frontal cortices).
For this study, 14 variables, 12 regional volumes obtained from the pipeline were used to check the impact of co morbidity in addition to the already existing neurodegenerative disease.: Normalized brain volume, Hippocampus volume left hemisphere as determined by Yi (manual segmentation), Hippocampus volume right hemisphere as determined by Yi (manual segmentation), Total hippocampus volume as determined by Yi (manual segmentation), Entorhinal cortex, Left cerebral cortex, Left cerebral white matter, Left hippocampus, Right cerebral cortex, Right cerebral white matter, Right hippocampus, Para-hippocampal gyrus, Left amygdale, Right amygdale (hippocampal volume was analyzed for both manual segmentation and computerized). All volumetric measures from each subject were normalized relative to the subject’s intracranial volume. The chosen structures are multiply mentioned as AD-affected areas.
Data analysis was conducted with SPSS 20.0 (SPSS Inc., Chicago, IL) statistical software. The Kolmogorov-Smirnov test was used to assess normality of the continuous variables. The Spearman’s rank coefficient was calculated for the assessment of the linear relationship between the co morbidity index and the volume of each of the 14-brain area variable. Significant correlations were further explored via linear regression analysis to adjust for age, education, MMSE and CDR scores. P-values less than 0.05 were considered statistically significant.
A total of 220 Alzheimer’s disease patients were examined at baseline. The sample consisted of 73 men (33,2%) and 147 women (66,8%). MMSE test was 20, 04±5,03 (mean±Std. Deviation). From those, 119 had an MRI, 98 patients had full medical history to assess CIRS and only 61 MMSE score ≤23. Therefore 61 patients’ data were more analyzed; 19 males (31,1%) and 42 females (68.9%). The average MMSE was 17.93 (SD= 3.605), the average age 75.67 (SD=6,81) years old, and the average of education (in years) 7.18 (SD= 3.79) (Table 2).
Table 2:Demographic data.

Table 3:Table of spearman’s rank coefficients followed by respective significance.

P-values < 0.05 were considered statistically significant.
Correlation analysis showed no statistically significant correlation between the co morbidity Index’s value and the brain areas under investigation. Adjusting for covariates such as age, gender, educational level, MMSE score and CDR score did not alter these results. A low negative correlation that was found between the cerebral cortex and CIRS was not deemed significant (Table 3).
Figure 1:Age effect on normalized total brain volume.

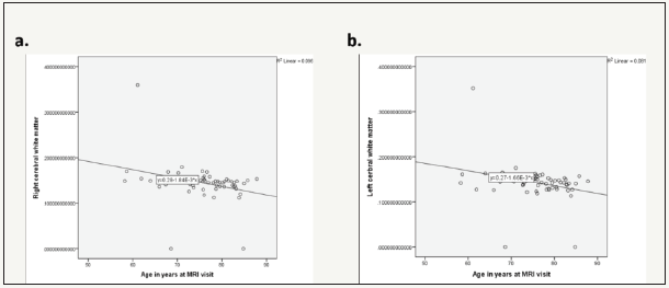
Figure 2:White matter volumes decrease due aging.
a. Right hemisphere and
b. Left hemisphere.

Stepwise linear regression analysis model building was used to adjust for age, gender, education, MMSE and CDR scores. Age is correlated with Normalized brain volume (p=0.004) (Figure 1), as well as left (p=0.020) and right (p=0.011) cerebral white matter (Figure 2). As age increases the normalized total volume reduces (B=-0.002 95% CI: -0.003 -0.001, p=0,004). The age increase is also related to white matter shrinkage bilaterally (B=-0.002, 95% CI: -0.003 -0.0002, p=0.020 and B=-0.002, 95% CI: -0.003 -0.0004, p=0.011). Gender is correlated with Hippocampus volume right (p=0.012) and left (p=0.031) hemisphere as determined by Yi, manually (Figure 3), as well as right (p=0.006) hippocampus volume by computerized segmentation. The hippocampus volume of the right hemisphere as determined by Yi is 2.40 x 10-7 smaller in male than in female (B=-2.40x10-7, 95% CI: -4.29x10-7 -5.29x10- 7, p=0.012). The hippocampus volume of the left hemisphere as determined by Yi is 1.80 x 10-7, also smaller in male than in female (B=-1.80 x 10-7, 95% CI: -3.44x10-7 -1.67 x10-8, p=0.031).
Figure 3:Differences between gender regarding hippocampal volume as determined by Yi.
a. Right hemisphere and
b. Left hemisphere.

The right hippocampus volume by computerized segmentation is 0.00041 smaller in male than in female (B=-0.00041, 95% CI: -0.001 -0.00012, p=0.006).
Co-existence of other pathological situations in patients who suffer from dementia is very important [20,44-46]. The magnitude of co morbidity in patients with dementia is similar to that in those without [20]. Very old patients, with dementia or not, have similar levels of co morbidity, but patients with dementia had a poorer functional and nutritional status [47]. Medical co morbidity is strongly associated with functional status and cognition in PwD [48] and make them more frail and more susceptible to pharmacological AEs than the older population without dementia [10]. Therefore, it should be taken into account in the management of patients with dementia [49].
Multiple morbid conditions have also been considered as risk factors for dementia, especially cardiovascular diseases, and may cause brain atrophy as well. Hypertension is a well- known risk factor for dementia [50-54] and is quite common in patients with AD. It is present in 44.1% of patients with mild to moderate AD according to the literature [55], but this percentage may vary depending on the age of the studied population [20]. Hypertension also correlates with cognitive decline before the diagnosis of dementia [56-58].
The most common explanation for the deleterious effect of hypertension on cognition is that hypertension increases the risk of cerebrovascular disease. Hypertension can lead to lacunar infarcts and white matter disease and eventually to neuronal loss [59-61]. Hypertension has also been associated with structural brain changes as well, even before the onset of dementia. There is a claim in the literature that hypertension is responsible for central brain atrophy [62] and hippocampus [63]. However, a recent study by Meurs et al. although presented brain volume loss in certain regions of interest (ROIS), showed no volume loss in the hippocampus, which consists a ROI for our study [64]. So, the relationship between hypertension and brain volume loss remains a rather ambiguous subject.
Diabetes mellitus (DM), is regarded as an AD risk factor, seems to be responsible for atrophic changes particularly in the anterior frontal lobe. These changes can occur as early as the first year after the clinical diagnosis of type 2 DM [65]. It is also known that when the DM is present with heart failure, has also been correlated to structural brain change [66,67], i.e., there are smaller total and cortical lobar brain volumes in these patients [68].
Kidney disease is also responsible for brain structural changes. Hemodialysis patients have more extent white matter disease and cerebral atrophy compared with controls without known kidney disease. Hemodialysis patients also have a high prevalence of unrecognized infarcts [69]. Smoke [70] and alcohol abuse [71], hyperlipidemia [50,72], depression [73], traumatic brain injury [74,75] and many other morbid conditions have also been correlated to increased risk for AD and brain structural changes.
In our study, all the above morbid conditions co- calculated, however, there are few differences between similar studies that might influence the outcome. All of them have significantly younger participants and smaller samples. Some of them also compare specific ROIs which may not be included in our analysis, but we believe that we could assess their impact on the total brain volume. Finally, all the above studies compare patients to healthy participants whereas in our case analysis performed only to AD patients. It is also noteworthy that significant systematic illnesses were excluded in the very beginning.
Age correlates with a reduction in human brain volume even in older adults who are unlikely to be in a presymptomatic stage of AD [76]. In our study age seems to have a statistically important correlation with left and right cerebral white matter, and consequently with the total normalized brain volume as well. This age-effect on brain volumes is consistent with previous reports in the literature [77]. The volume decrease in entorhinal cortex and hippocampus areas is strongly associated with AD [78,79]. In our case, the entorhinal cortex volume seems to reduce as co morbidity increases, even though the correlation is marginally not significant. Further study is needed with a larger sample size to support the above notion strongly.
The available evidence suggests that hippocampal atrophy is the starting point of the pathogenesis of AD and a significant number of patients with hippocampal atrophy will develop AD. Some of the factors associated with the development of hippocampal atrophy in AD have been identified, i.e., hypertension, DM, hyperlipidemia, seizures, affective disturbances, and stress. Hypertension can potentially damage the hippocampus through ischemia caused by atherosclerosis and cerebral amyloid angiopathy. DM can produce hippocampal lesions via both vascular and non-vascular pathologies and can reduce the threshold for hippocampal damage. Affective disturbances and stress are proposed to increase corticosteroidinduced hippocampal damage in many different ways [80].
Finally, gender is a significant co-factor in hippocampal volume studies. There is evidence of smaller hippocampal volumes in males, even though the atrophy progression is faster in females [81,82]. Our results support the above notion, finding gender correlation with the right and the left hippocampal volume. Hippocampal volumes are smaller in male than in female (Figure 1), which is consistent with the existing literature.
The initial assumption of this study was that co morbidity quantified by CIRS index would affect MRI brain volumes. Our results did not show an accumulative impact of co morbid conditions on the brain atrophy in specific brain areas of interest, although the normalized brain volume is, marginally, not significantly correlated with CIRS index. These results might be explained by the fact that the comorbidity burden is usually related to aging, and aging alone correlates with brain shrinkage. Moreover, neurodegenerative disease, in our sample, was already established when the measurements were made. So, we could assume that the atrophy caused by the disease was greater, compared to the atrophy caused by any other morbid condition in these specific areas.
Our study is a cross-sectional study of a population already diagnosed with AD. According to our research in the literature, there is no other study which correlates these co morbidity indexes of the patients with AD with MRI findings. Many studies nowadays, focus on the comorbidity in AD, but there is a variety of results since different co morbidity indexes have been used (Geriatric Index of Comorbidity [83] or Comorbidity Index and Score of Charlson [84]).
Co morbidities, although, according to the literature, worsen cognitive and/or behavioral symptoms in AD patients, make them more frail and more susceptible to pharmacological AEs than the older population without dementia [10], based on our results, they do not largely influence the brain structures volume additionally to the neurodegenerative disease.
The authors report no actual or potential conflict of interest. This paper is not under consideration by any other journal, and it has not previously published. The corresponding author takes full responsibility for the data, the analyses and interpretation and the conduct of the research, as well as access to all the data. All authors have seen and agreed with the contents of the manuscript
The data for this study were collected for InnoMed (Innovative Medicines in Europe), an Integrated Project funded by the European Union of the Sixth Framework program priority FP6-2004- LIFESCIHEALTH-5, Life Sciences, Genomics and Biotechnology for Health, Health Research Council of Academy of Finland and strategic funding for UEFBRAIN (HS), The Gamla Tjänarinnor Foundation (WE), The Swedish Alzheimer’s Association (WE) and Swedish Brain Power (WE).
© 2018 Tsolaki Anthoula. This is an open access article distributed under the terms of the Creative Commons Attribution License , which permits unrestricted use, distribution, and build upon your work non-commercially.
a Creative Commons Attribution 4.0 International License. Based on a work at www.crimsonpublishers.com.
Best viewed in