Jan Bocianowski*
Department of Mathematical and Statistical Methods, Poznań University of Life Sciences, Poland
*Corresponding author: Jan Bocianowski, Department of Mathematical and Statistical Methods, Poznań University of Life Sciences, Poland Add: ORCID: 0000-0002-0102-0084
Submission: May 11, 2020Published: May 19, 2020
ISSN 2637-7659Volume 6 Issue 3
Genetic similarity of genotypes is the very important for analysis of quantitative traits in all organisms. All organisms are exposed on the influence of different environmental conditions but in the genetic level are the same in all environments. A number of studies have shown that the greater the genetic similarity of parental lines, the smaller the heterosis effect [1]. Genetic or phenotypic similarity can be estimated by genotype testing on the basis of the observations obtained through prediction (a priori) or of the observations and studies (a posteriori). Coors [2] stated that predicting the effect of heterosis between groups of germplasm showing genetic similarity of germplasm was not possible on the basis of the genetic distance determined with using the DNA markers, but should be determined in the field experiments. The paper presents five the most popular methods of estimation of genetic similarity (S) based on coefficients proposed by Jaccard, Kulczynski, Sokal and Michener, Nei as well as Rogers.
Jaccard [3]

where NA-number of bands present in genotype A, NB-number of bands present in genotype B, NAB-number of bands present in genotypes A and B.
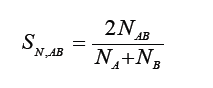
Kulczyński [4]

Sokal & Michener [5]

where N00 number of lack of bands present in both, A and B, genotypes, N-number of all markers.
Nei [6]

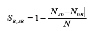
Rogers [7]

Where NA0 number of band present in genotype A and absent in genotype B, N0B-number of band present in genotype B and absent in genotype A.
© 2020 Jan Bocianowski. This is an open access article distributed under the terms of the Creative Commons Attribution License , which permits unrestricted use, distribution, and build upon your work non-commercially.
a Creative Commons Attribution 4.0 International License. Based on a work at www.crimsonpublishers.com.
Best viewed in